宝安湾 2021-06-26
6月25日深夜,广东省教育考试院公布了《广东省2021年普通高考成绩各分数段数据》,共有31.8万名考生上线普通类本科批次。
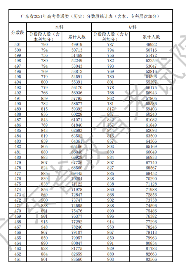
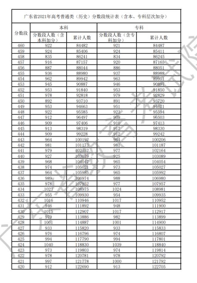
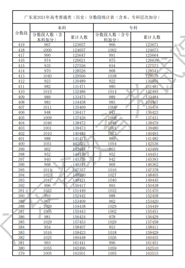
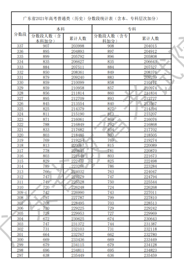
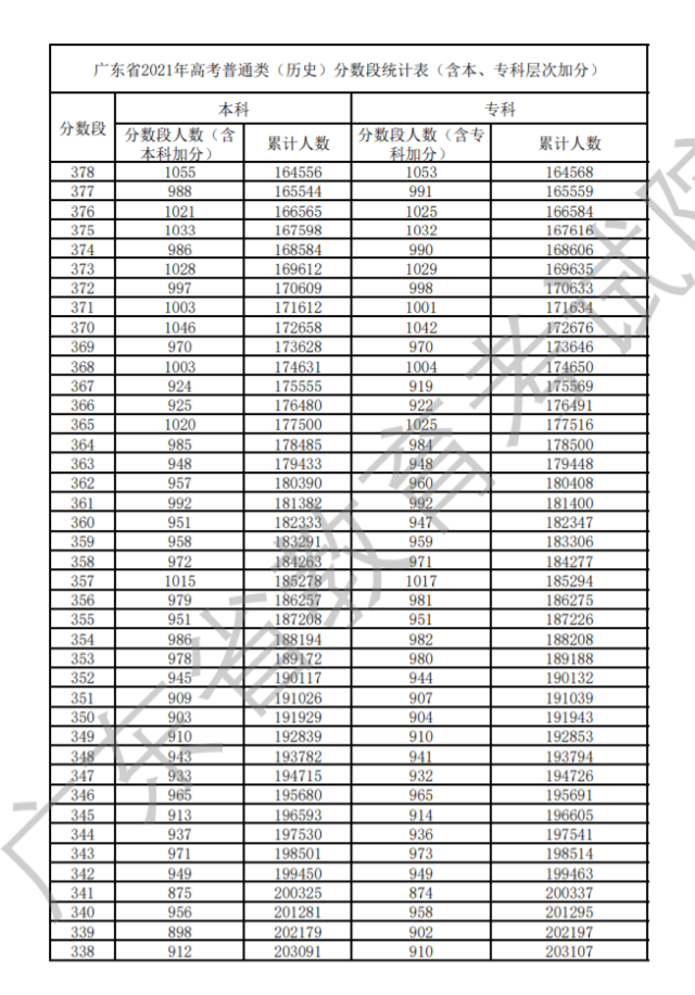
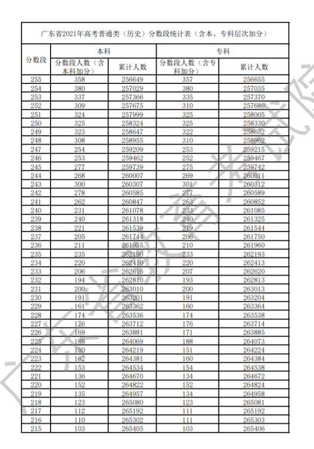
今年普通类录取最低控制分数线方面,本科批次普通类(历史)448分、普通类(物理)432分。专科批次普通类(历史)160分、普通类(物理)160分。
从表格可以发现,普通类(历史)的考生人数有269209人,普通类(物理)的考生人数有337988人。
其中,普通类(历史)665分以上20人,本科批次以上95585人,专科批次以上268650人。普通类(物理)695分以上24人,本科批次以上222304人,专科批次以上337615人。
广东省2021年高考普通类(物理)分数段统计表(含本、专科层次加分):















广东省2021年高考普通类(历史)分数段统计表(含本、专科层次加分):














你排在哪个分数段?上线了吗?
内容来源:广东教育头条
宝安湾 2021-06-26
宝安湾 2021-06-26
宝安湾 2021-06-26
宝安湾 2021-06-26
宝安湾 2021-06-26
评论